НиД (10) - Лекция №11 - Псевдоэлементы (продолжение)
...начало

Метод псевдоэлементов
Многополюсники

Выделяем пути, проходящие через 21:

Получили элемент $$ПЭ_1$$.
То же самое и для путей через 22 - получится элемент $$ПЭ_2$$, содержащий элементы $$33^*$$ и $$34^*$$ (они потом ещё пригодятся).
При этом, $$ПЭ_1$$ не эквивалентен $$ПЭ_2$$.
Все эти преобразования, кстати, неточные и вносят погрешность, но она незначительная.
Представим элементы 41 и 42 как один элемент: из схемы получения $$ПЭ_1$$ отбросим элементы 41 и 42:

Получится:

Исходная схема теперь превращается в следующее:

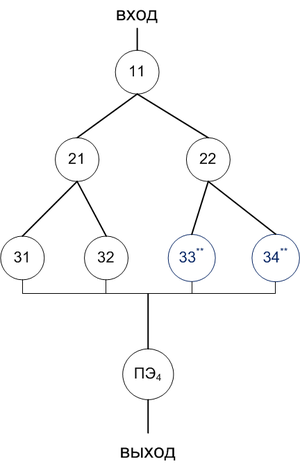
Теперь объединяем элементы $$33^*$$ и $$34^*$$ в $$ПЭ_3^*$$. И путём использования параллельной декомпозиции найдём элементы $$33^{**}$$ и $$34^{**}$$
В результате всех преобразований получается:

Математическое обоснование метода псевдоэлементов
Рассматриваем функционирование элемента, которые работает, ломается, восстанавливается и так далее:

Функция распределения времени работы экспоненциальная.
Функция распределения времени восстановления произвольная.
$$$К_г = 1 - F(t) + \int_0^t 1 - F\cdot (t - x)\cdot h(x) dx$$$
$$$К_г = e^{-\lambda\cdot t} + \int_0^t e^{-\lambda\cdot (t - x)}\cdot h(x) dx$$$
$$$K'{t} - \lambda\cdot К_г(t) = h(t)$$$
Пусть система в начальный момент находится в исправном состоянии, тогда $$К_г(0) = 1$$
Преобразование Лапласа-Стилтьеса:
$$$К_г(S) = \int_0^\infty e^{-S\cdot t}\cdot\frac{d К_г(t)}{К_г(t) dt}$$$
$$$К_г^*(S)\cdot(\lambda + S) - 1 = H^*(S)$$$
$$$H^*(S) = \int_0^\infty e^{-S\cdot t}\cdot\frac{h(t) dt}{d h(t)}$$$
Из теории восстановления:
$$$P_n {t_n' < t} = \int_0^t F_{n-1}(t - x) d F(x)$$$
$$$P_n {t_n'' < t} = \int_0^t G_{n-1}(t - x) d G(x)$$$
$$$\Theta_n(t) = \int_0^t F_n(t - x) d G_n(x)$$$
$$$\Theta_n^x(S) = F^*(S)^n\cdot G^*(S)^n$$$
$$$G^*(S) = \int_0^t e^{-S\cdot t} d G(t)$$$
$$$G^*(S) = \frac{(S + \lambda)\cdot H^*(S)}{\lambda\cdot (1 + H^*(S))}$$$
$$$G^\lambda(S) = \frac{(x + S)\cdot К_г^*(S) - 1}{\lambda\cdot К_г^*(S)}$$$
$$$К_г(S) = \frac{1}{(\lambda + S) - \lambda\cdot G^*(S)}$$$
Производная по $$S$$ от функции распределения случайной величины с обратным знаком при $$S = 0$$ представляет собой математическое ожидание этой функции.
$$$m_{t_в} = -[G^*(S)]'_{S=0} = \frac{1 - К_г}{\lambda\cdot К_г}$$$
$$$К_г = \frac{1}{1 + \lambda\cdot m_{t_в} }$$$
Но это для случая с произвольным законом распределения.
Для получения моментов более высокого порядка введём понятие $$К_с$$, которое использовалось на прошлой лекции как некий коэффициент.
$$$К_с = - \int_0^\infty t\cdot К_г'(t) dt$$$
Возьмём преобразование Лапласа-Стилтьеса от $$К_с$$:
$$$К_с = [S\cdot К_г(S)]_{S=0}$$$
Разложим это в ряд Тейлора, сделаем ещё что-нибудь и получим:
$$$К_с = \frac{\lambda}{2}\cdot(D_{t_в} + m_{t_в}^2)\cdot К_г^2$$$
$$$D_{t_в} = \frac{2\cdot К_с}{\lambda\cdot К_г^2} - m_{t_в}^2$$$
продолжение...