НиД (10) - Лекция №10 - Псевдоэлементы
Метод псевдоэлементов
Разработан для:
- для анализа систем как простых, так и топологически сложных;
- систем с неограниченным восстановлением (в дальнейшем - ограниченное восстановление);
- для случаев, когда интенсивность отказов - пуассоновский поток и задаётся первым параметром.
Закон восстановления может быть произвольным.
Идея метода: исходная надёжностная схема системы поэтапно преобразовывается таким образом, что схема постепенно укрупняется (в соответствии с какими-то алгоритмами). При этом параметры надёжности остаются неизменными. Укрупнение происходит до тех пор, пока она не будет укрупнена до первого элемента.
Схема рисуется следующим образом:

Введём понятия параллельной свёртки, последовательной свёртки, композиции и декомпозиции.
Чтобы определить параметры надёжности первого элемента, он должен иметь следующие характеристики:
- $$\lambda$$ - интенсивность отказа;
- $$m_t$$ - математическое ожидание времени восстановления;
- $$D_t$$ - дисперсия времени восстановления;
- $$К_г$$ - коэффициент готовности;
- $$К_с$$ - промежуточный параметр, необходимый для преобразований.
Последовательная свёртка (композиция)

ПЭ - псевдоэлемент.
Два элемента заменяются одним, при условии, что надёжностные характеристики сохранятся.
Последовательная декомпозиция

Известно, что этот ПЭ был получен путём последовательной свёртки, значит можно найти параметры второго элемента: $$\lambda_2\ \text{K}_{\text{г}_2}\ m_{t_2}\ D_{t_2}\ \text{К}_{\text{с}_2}$$
Иногда в последовательной композиции надо заменить реальных характеристики одного элемента и оставшихся тоже, чтобы общие параметры остались неизменными.
Параллельная композиция

Параллельная декомпозиция

Топологически сложная схема мостик

Симметричная схема
Будем считать, что схема симметричная, то есть 1.1 = 1.2 и 3.1 = 3.2.
Пути прохождения через 1.1:

Пути прохождения через 1.2:

ПЭ1 = ПЭ2:

Несимметричная схема
Теперь рассмотрим случай, когда схема несимметрична.

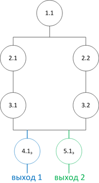
Многополюсники

Все возможные пути от входа до одного из выходов являются следом выполнения какой-либо задачи (требуемые техничкские ресурсы).
След первого типа задачи:

Отбросим все элементы, которые относятся только к первому следу (4.1 и 4.2):

В результате:

продолжение...